Resummation of the C-Parameter Sudakov Shoulder Using Effective Field Theory

저자: Matthew D. Schwartz | 날짜: 2026/01/05 | DOI: N/A


Essence

Figure 1

Figure 1: C-parameter distribution at LO and NLO from EVENT2 Monte Carlo (with αs =

소프트-콜리니어 유효장이론(SCET)을 이용하여 e+e- 소멸에서 C-파라미터의 운동학적 어깨(kinematic shoulder) 현상을 재합(resummation)하고, 새로운 제트 및 소프트 함수를 도출하여 NLL+NLO 정확도의 예측을 제시했다.

Motivation

Achievement

Figure 3

Figure 3: Comparison of the NLO distribution B(C) (red), the NLL singular prediction BNLL

How

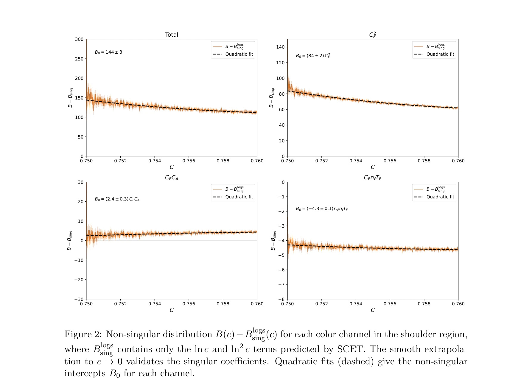
Figure 2

Figure 2: Non-singular distribution B(c)−Blogs

Originality

Limitation & Further Study

Evaluation

Novelty: 4/5 Technical Soundness: 3/5 Significance: 4/5 Clarity: 4/5 Overall: 4/5

총평: 이 논문은 수다코프 어깨 재합의 SCET 프로그램을 C-파라미터로 확장하여 새로운 제트/소프트 함수를 정의하고 NLL+NLO 정밀도의 예측을 제시함으로써, QCD 정밀 현상론과 유효장이론 방법론의 발전에 중요한 기여를 한다.

같이 보면 좋은 논문

기반 연구
물리학 이론 연구의 수학적 엄밀성이 LLM 해석가능성 연구의 기계적 분석 방법론에 이론적 토대를 제공한다.
기반 연구
정량적 데이터 시뮬레이션 방법론이 고에너지 물리학의 복잡한 이론 계산을 빠르게 검증하는 기초 도구를 제공한다.
다른 접근
고에너지 물리학에서 전통적 이론 연구와 AI 보조 연구 접근법의 방법론적 차이를 직접 비교할 수 있다.
다른 접근
동일한 고에너지 물리학 분야에서 AI 보조 연구와 전통적 이론 연구의 방법론과 성과를 직접 비교할 수 있다.
후속 연구
고에너지 물리학의 복잡한 계산을 LLM 기반 데이터 시뮬레이션으로 확장하여 이론 검증 속도를 높일 수 있다.
← 목록으로 돌아가기