Improving Scientific Hypothesis Generation with Knowledge Grounded Large Language Models

저자: Guangzhi Xiong, Eric Xie, Amir Hassan Shariatmadari, Sikun Guo, Stefan Bekiranov | 날짜: 2024 | DOI: 10.48550/arXiv.2411.02382


Essence

Figure 1

KG-CoI 시스템의 개요: KG 기반 맥락 검색, KG 증강 아이디어 체인 생성, KG 기반 환각 감지 모듈로 구성

LLM의 과학적 가설 생성 능력을 지식 그래프(Knowledge Graph)의 구조화된 정보와 통합하여 향상시키고, 생성 과정의 환각(hallucination)을 감지 및 완화하는 KG-CoI 시스템을 제안한다.

Motivation

Achievement

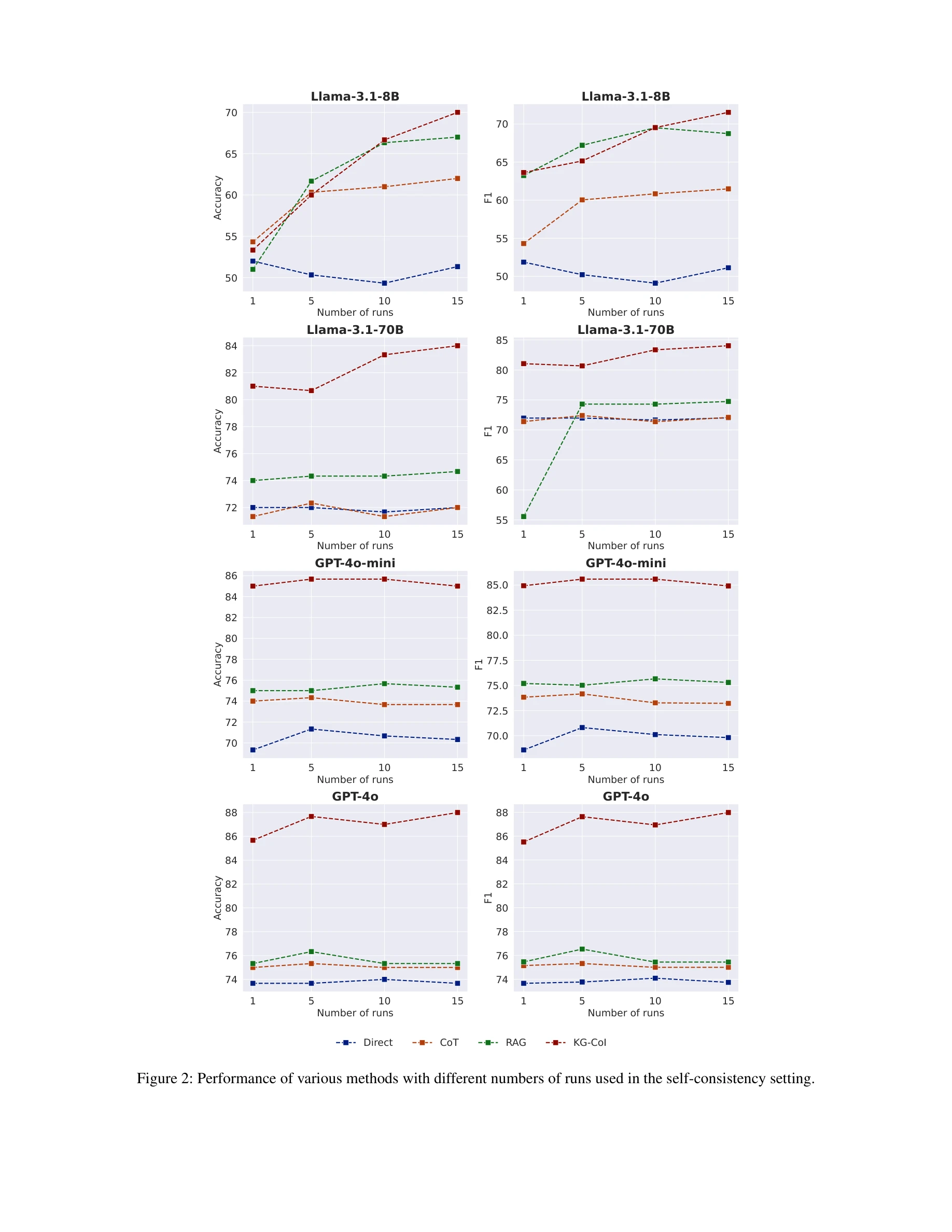
Figure 2

다양한 방법의 성능 비교: 자기 일관성(self-consistency) 설정에서 실행 횟수에 따른 성능 변화

  1. 가설 생성 정확도 향상: KG-CoI는 기존의 직접 프롬프팅(Direct prompting), 사고의 연쇄(Chain-of-Thought), RAG 방식 대비 가장 높은 정확도로 과학적 가설을 생성한다.
  2. 환각 감소 및 신뢰성 개선: KG 기반 환각 탐지 모듈을 통해 생성된 추론 단계들에서 사실적 오류를 식별하고, 시스템의 신뢰성을 크게 향상시킨다.
  3. 새로운 평가 데이터셋 구축: 지식 그래프 내의 링크를 마스킹하여 LLM의 가설 생성 능력을 정량적으로 평가할 수 있는 벤치마크 데이터셋을 구성하였다.

How

Figure 1

KG-CoI는 세 가지 주요 모듈로 구성된다:

1. KG 기반 맥락 검색 (KG-guided Context Retrieval)

2. KG 증강 아이디어 체인 생성 (KG-augmented Chain-of-idea Generation)

3. KG 기반 환각 탐지 (KG-supported Hallucination Detection)

Originality

Limitation & Further Study

Evaluation

Novelty: 4.5/5 Technical Soundness: 4/5 Significance: 4.5/5 Clarity: 4/5 Overall: 4.2/5

총평: KG-CoI는 LLM의 과학적 가설 생성 능력을 향상시키기 위해 지식 그래프를 체계적으로 통합한 참신한 접근법을 제시하며, 특히 환각 탐지 모듈과 새로운 평가 데이터셋은 과학 AI 분야에 실질적 기여를 한다. 다만 생물의학 영역에 국한된 평가와 다른 도메인으로의 일반화 가능성 검증이 필요하다.

같이 보면 좋은 논문

기반 연구
지식 그래프를 활용한 과학적 가설 생성 개선이 본 논문의 LLM 가설 생성 능력을 구조화된 지식으로 보강하는 방법론을 제공한다.
← 목록으로 돌아가기