Multi-novelty: Improve the diversity and novelty of contents generated by large language models via inference-time multi-views brainstorming

저자: Arash Lagzian, Srinivas Anumasa, Dianbo Liu | 소속: National University of Singapore | 날짜: 2025 | DOI: arXiv:2502.12700


Essence

Figure 1

다중 관점 임베딩을 통한 LLM 생성 콘텐츠의 다양성과 신규성 향상 개요

본 논문은 추론 시점(inference-time)에 텍스트와 이미지 기반 다중 관점(multi-view) 임베딩을 활용하여 대규모 언어모델(LLM)이 생성하는 콘텐츠의 다양성과 신규성을 개선하는 아키텍처 무관(model-agnostic) 방법을 제안한다.

Motivation

Achievement

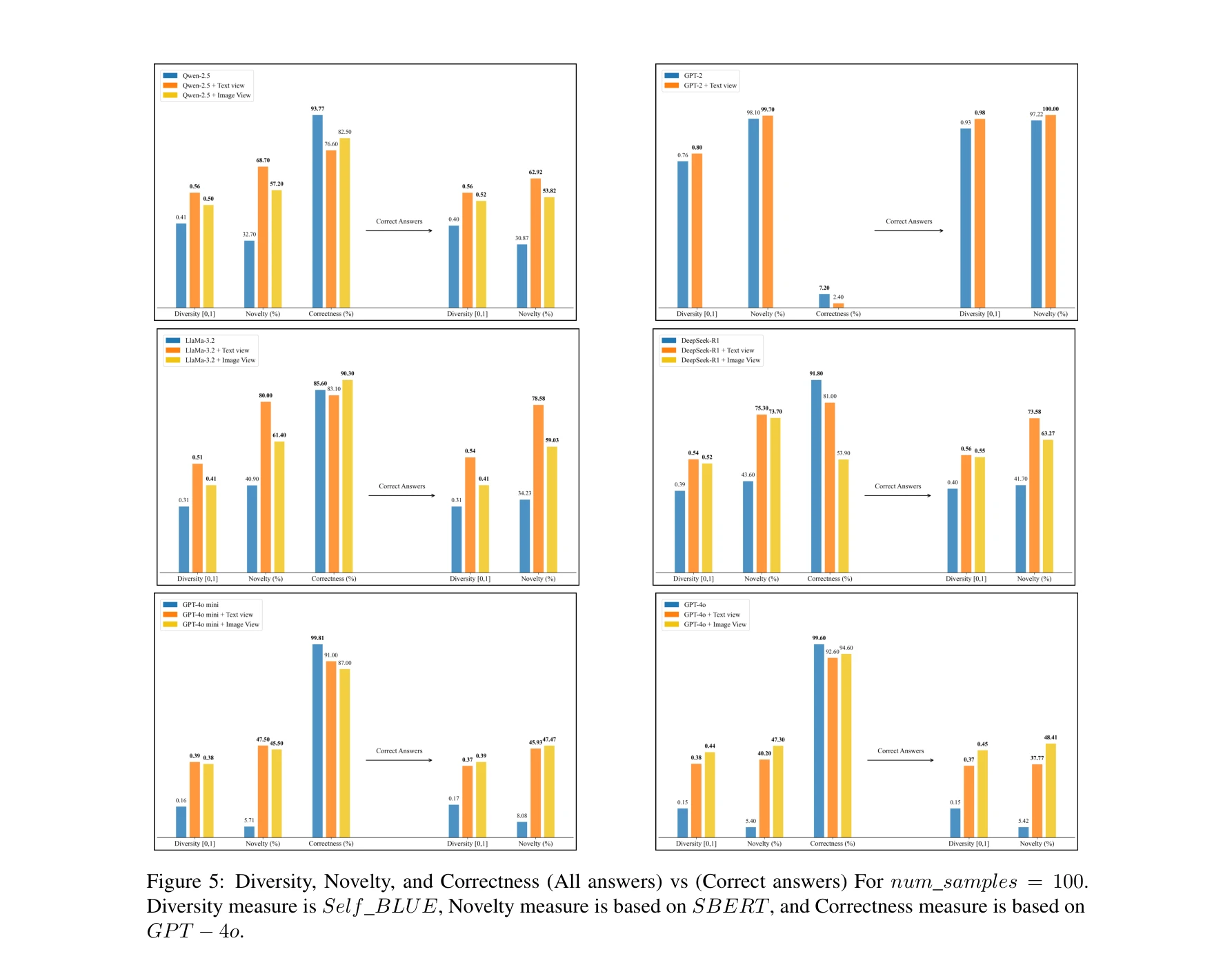
Figure 5

다양성, 신규성, 정확성 평가 결과 (전체 답변 vs 정확한 답변)

  1. 포괄적 평가 프레임워크 개발: 다양성(Diversity), 신규성(Novelty), 정확성(Correctness)을 동시에 평가하는 DNC 프레임워크 제안
  2. 대규모 실험 검증: 909,500개의 생성 응답을 포함한 909kPR 데이터셋을 구축하여 GPT-4o, DeepSeek-R1, Qwen 등 주요 모델들에서 개선 효과 입증
  3. 모델 무관 방법론: 기존 LLM 아키텍처 수정 없이 적용 가능한 추론 시점 기법으로 오픈소스 및 상용 모델 모두 호환

How

Figure 2

텍스트 다중 관점 임베딩 프로세스

Figure 3

이미지 기반 관점 생성 및 설명 개선 프로세스

1. 다중 관점 임베딩

텍스트 관점 임베딩 (Text View Embedding)

이미지 관점 임베딩 (Image View Embedding)

2. 평가 지표 (DNC Framework)

다양성 측정 (Diversity)

신규성 측정 (Novelty)

정확성 측정 (Correctness)

Originality

Limitation & Further Study

Evaluation

Novelty: 3.5/5 Technical Soundness: 3.5/5 Significance: 4/5 Clarity: 3.5/5 Overall: 3.5/5

총평: 본 논문은 LLM의 다양성과 신규성 문제에 실질적인 솔루션을 제시하며 909k 규모의 광범위한 실험으로 효과를 입증했으나, 기저 개념의 신규성이 제한적이고 계산 비용 및 다국어 확장성에 대한 고려가 충분하지 않다. 실무 적용 가치는 높으나 학술적 혁신성은 중간 수준.

같이 보면 좋은 논문

기반 연구
다중 관점 임베딩을 통한 다양성 개선에 경제 인류학적 지식과 같은 특정 지식 체계를 통합하여 편향 없는 콘텐츠 생성을 달성할 수 있다.
후속 연구
학술 저술에서 가독성 개선과 문법 검사를 넘어 콘텐츠의 다양성과 신규성을 체계적으로 향상시키는 방법을 제공할 수 있다.
후속 연구
과학적 아이디어 생성에서 다양성과 신규성을 개선하는 방법을 적용하여 창의적 아이디어 생성 시스템의 품질을 향상시킬 수 있다.
응용 사례
교육용 ChatGPT 콘텐츠 생성에서 다양성과 신규성을 개선하여 학습자에게 더욱 풍부하고 창의적인 교육 경험을 제공할 수 있다.
응용 사례
교육 콘텐츠 생성에서 다양성과 신규성 개선 방법을 적용하여 ChatGPT 기반 교육 도구의 창의적 활용 방안을 확장할 수 있다.
응용 사례
경제 인류학적 미세조정을 통한 편향 개선 방법을 텍스트와 이미지 기반 다중 관점 임베딩에 적용하여 더욱 다양하고 편향 없는 콘텐츠를 생성할 수 있다.
응용 사례
과학적 아이디어 생성에서 다양성과 신규성을 향상시키기 위해 다중 관점 임베딩을 활용한 콘텐츠 개선 방법을 적용할 수 있다.
응용 사례
학술 저술에서 주요 목적인 가독성 개선과 문법 검사를 넘어 콘텐츠의 다양성과 신규성을 향상시키는 방법을 적용할 수 있다.
← 목록으로 돌아가기