Large Language Models as Evolutionary Optimizers

저자: Shengcai Liu, Caishun Chen, Xinghua Qu, Ke Tang, Y. Ong | 날짜: 2023 | DOI: 10.1109/CEC60901.2024.10611913


Essence

본 논문은 대규모 언어모델(Large Language Models, LLM)을 진화 알고리즘(Evolutionary Algorithms, EA)의 연산자로 활용하여 조합 최적화 문제를 해결하는 최초의 시도를 제시한다. LLM 기반 진화 알고리즘(LMEA)은 도메인 전문 지식 없이도 자연어 명령만으로 부모 선택, 교차(crossover), 돌연변이(mutation) 연산을 수행할 수 있다.

Motivation

Achievement

Figure 1

LMEA의 개요 및 프롬프트 구성 예시

  1. 경쟁력 있는 성능: LMEA는 20개 노드 규모의 TSP(Traveling Salesman Problem) 인스턴스에서 전통적 휴리스틱과 견줄 만한 성능을 달성하며, 특히 10개 및 15개 노드 규모에서는 최적해를 일관되게 발견.
  2. 최소한의 설계 노력: 추가 모델 훈련이나 광범위한 도메인 전문 지식 없이 자연어 프롬프트 변경만으로 다양한 최적화 문제에 적응 가능.
  3. 자동 적응 메커니즘의 효과성: 온도 자동 조절 메커니즘이 지역 최적해 함정을 회피하고 탐색 성능을 향상시킴을 실증.

How

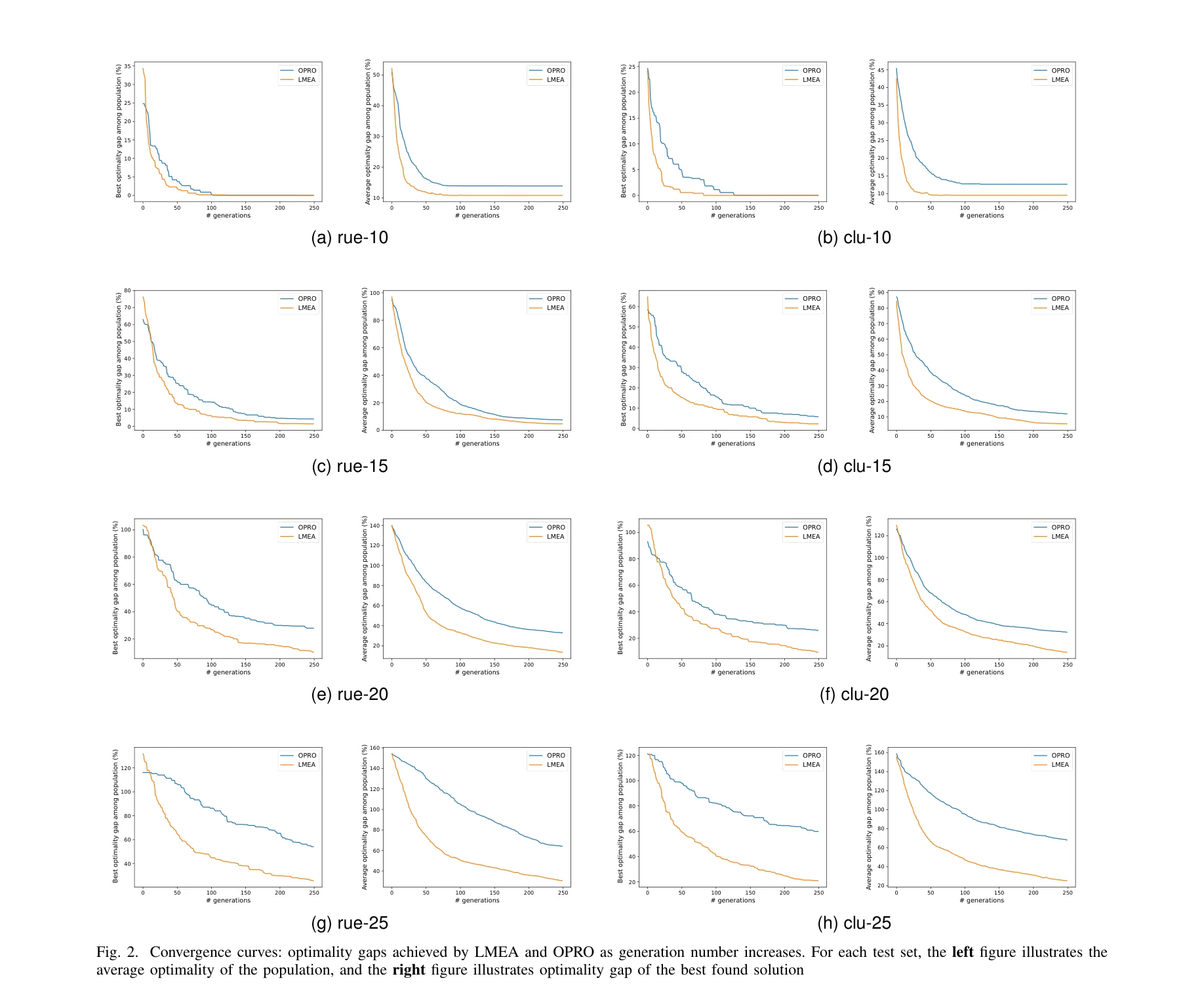
Figure 2

LMEA와 OPRO의 세대 수에 따른 수렴 곡선 비교

Originality

Limitation & Further Study

Evaluation

총평: 본 논문은 대규모 언어모델을 진화 알고리즘의 연산자로 활용하는 창의적이고 참신한 패러다임을 제시하며, 추가 훈련 없이 자연어만으로 최적화 문제를 해결할 수 있는 가능성을 보여준다. 다만 제한된 문제 규모와 LLM의 높은 계산 비용이 실제 응용의 장애물이 될 수 있으므로, 향후 대규모 복잡한 실무 문제로의 확장과 프롬프트 최적화 방법론 개발이 필요하다.

같이 보면 좋은 논문

다른 접근
LLM을 진화 최적화기로 사용하는 LEO와 일반적인 LLM 기반 진화 최적화는 서로 다른 LLM 최적화 접근법을 제시한다.
다른 접근
대칭성을 활용한 상징적 미분방정식 발견이 LLM 기반 최적화와는 다른 접근으로 과학적 발견을 추진하는 방법론이다.
다른 접근
LLM을 진화 알고리즘에 활용하는 두 가지 다른 접근법으로 프로그램 진화와 일반 최적화 비교가 가능함
후속 연구
LLM 기반 진화 최적화의 추론 능력을 강화하고 제약 조건 처리를 개선하여 LMEA의 성능을 한층 발전시킨다.
후속 연구
진화적 최적화로서의 대규모 언어모델로 복잡한 분석 능력을 확장한다
응용 사례
화학 공간에서의 효율적 진화 탐색이 본 논문의 LLM 진화 알고리즘을 분자 설계 도메인에 구체적으로 적용한 사례이다.
← 목록으로 돌아가기