Explaining relationships among research papers

저자: Xiangci Li, Jessica Ouyang | 날짜: 2024 | DOI: N/A


Essence

Figure 1

그림 1: GPT-4 기반 Bing Chat과 본 논문의 접근 방식 비교. Bing Chat의 출력은 일반적이고 부정확한 반면, 제안 방식은 구조화된 특성(features)을 활용하여 보다 정확한 인용문을 생성한다.

본 논문은 연구 논문들 간의 복잡한 관계를 포착하기 위해 특성 기반(feature-based) LLM 프롬프팅 접근법을 제안하며, 단순 인용문 생성을 넘어 여러 논문을 한 번에 처리하고 이들을 연결하는 전환 문장(transition sentence)을 생성한다.

Motivation

Achievement

Figure 2

그림 2: 문학 검토 생성을 위한 프롬프트 형식. 추출된 특성들이 구조화되어 LLM에 입력된다.

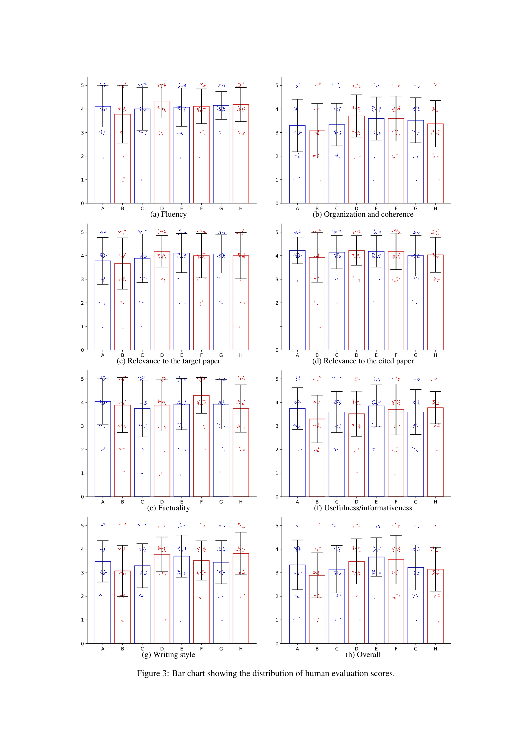
Figure 3

그림 3: 인간 평가 점수 분포. 적분적 글쓰기 스타일을 보인 생성문이 더 높은 선호도를 보인다.

  1. 특성 기반 생성 프레임워크: 인용 논문의 기여도, 논문 간 관계, 인용의 담화 역할(discourse role)을 표현하는 해석 가능한(human-interpretable) 자연언어 특성들을 정의하고 자동 추출
  2. 다중 인용 동시 생성: 단일 인용문이 아닌 여러 논문의 인용과 이를 연결하는 전환 문장을 한 번에 생성하여 응집력 있는 문학 검토 구성
  3. 계획 기반 생성의 효과성: 고수준 관계 설명(plan)을 통한 유도가 생성 품질 향상에 기여함을 실증적으로 입증
  4. 적분적 글쓰기 선호도 발견: 인간 평가 결과 고수준의 추상적 인용과 전환 문장이 포함된 응집력 있는 문서를 강하게 선호

How

Figure 4

그림 4: 사실적 오류(factual errors) 개수 비교. 제안 방식이 Bing Chat 대비 오류를 크게 감소시킨다.

Originality

Limitation & Further Study

Evaluation

총평: 본 논문은 연구 논문 간의 복잡한 관계를 포착하여 응집력 있는 문학 검토를 생성하는 실질적인 문제를 다루며, 특성 기반 LLM 프롬프팅의 유효성을 입증했으나, 계획의 자동 생성 및 대규모 평가를 통한 완성이 필요하다.

같이 보면 좋은 논문

기반 연구
문헌 리뷰에서 논문 간 관계를 체계적으로 구조화하는 기반 방법론입니다.
기반 연구
논문 간 관계 설명을 위한 계층적 구조 생성의 기반 프레임워크입니다.
기반 연구
논문 간 관계 설명 방법론이 방법론적 계보 파악을 위한 MAG 구축의 개념적 기반
다른 접근
논문 간 관계 설명과 개별 인용 텍스트 스팬 활용이라는 서로 다른 관점을 제시합니다.
후속 연구
관련 연구 요약에서 문맥 기반 접근법을 논문 간 전환 문장 생성으로 발전시킵니다.
후속 연구
단일 인용문 제어 생성을 여러 논문 간 관계 설명으로 확장한 고도화된 접근법입니다.
후속 연구
단일 인용문 생성을 여러 논문 간 관계 설명으로 확장한 발전된 형태입니다.
← 목록으로 돌아가기